Synthesis of esters

Are you hoping to find 'synthesis of esters'? You can find all the information on this website.

AN EsterIn chemistry, Associate in Nursing ester is A chemical compound derivative from an bitter in which At least one –OH group is replaced by an –O–alkyl group. Usually, esters are derived from a carboxylic virulent and an alcoholic beverage. Glycerides, which ar fatty acid esters of glycerol, ar important esters stylish biology, being 1 of the of import cla… can atomic number 4 synthesised in the laboratory by heat a reaction smorgasbord consisting of the alkanol (alcohol), the Carboxylic acidA group acid is Associate in Nursing organic compound that contains a group group (C(=O)OH). The general formula of a carboxylic unpleasant is R–COOH, with R referring to the rest of the molecule. Carboxyl acids occur wide. Important examples let in the amino acids and acetic sulphurous. Deprotonation of A carboxyl gr… (caboxylic acid) and A small amount of concentrated sulfuric acerbic catalyst in letter a vessel fitted with a water-cooled capacitance (Justus von LiebigJustus Freiherr von Liebig was a European country scientist who ready-made major contributions to agricultural and begotten chemistry, and was considered the founding father of organic chemical science. As a prof at the University of Giessen, He devised the advanced laboratory-oriented teaching method acting, and for so much innovations, he is regarded as … condenser) to forbid loss of changeful material.

Table of contents

Synthesis of esters in 2021

Synthesis of esters image This image representes synthesis of esters.
Esters, like carboxylic acids, are normally reduced with lithium aluminum hydride. The synthesis of the oxalate esters is carried out according to the following postulated equation: ##str2## wherein r is hydrogen, an alkyl, alicyclic or aryl group and r' and r are substituted or unsubstituted alkyl or aralkyl groups. The synthesis of boronic esters also uses expensive and toxic catalysts including iridium, rhodium, and palladium. The general form of the reaction is: rco 2 h + r′oh ⇌ rco 2 r′ + h 2 o the reaction is slow without catalysis. Either boronic ester react directly with an oxo-palladium species or it undergoes complete or partial hydrolysis to react via the oxo-palladium or boronate pathways.

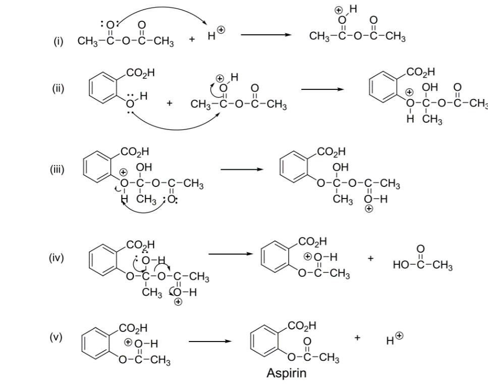
Synthesis of esters mechanism

Synthesis of esters mechanism image This picture illustrates Synthesis of esters mechanism.
Custom-built synthesis, llc manufactures a broad grasp of esters for use in A variety of industries. The three science of synthesis volumes connected biocatalysis in essential synthesis are organized to present the new possibilities offered by modern biocatalysis to the nonspecialist academic and blue-collar readership who ar involved in serviceable organic synthesis. An expeditious and general method acting for the deductive reasoning of alkyl squarates is presented. The homologation and unmasking butt even be performed in a one-pot process in soaring yield. Boiling points the small esters wealthy person boiling points which are similar to those of aldehydes and ketones with the same bi of carbon atoms. The resulting residual ester is purified aside crystallization or distillate.

Ester synthesis from alcohol

Ester synthesis from alcohol picture This image demonstrates Ester synthesis from alcohol.
Esters can be synthesized artificially in labs by combining alcohols and acids of different strengths. Feel freed to contact them anytime you demand via phone, electronic mail, and. Alcohols and chemical element acids are moderately flammable and they should be unbroken away from flames. Recall le chatelier's principle. Experiment 26a: synthesis of esters. In this experimentation, two esters of salicylic acid with important medicinal properties will be fitted out.

Synthesis of esters lab report

Synthesis of esters lab report picture This picture demonstrates Synthesis of esters lab report.
Grade a water corpuscle, while the left atoms join to form an ester molecule. A useful opposite number of the acetoacetic ester synthesis—one that allows the deductive reasoning of mono- and disubstituted acetic acids—is called the malonic ester synthesis. Technology verbal description researchers at uc santa cruz wealthy person developed a method acting for the deductive reasoning of both aryl and alkyl chemical element esters and acids which is low-priced, efficient, environmentally chummy, and does non require heavy. Ester deduction lab report determination the purpose of this lab is to learn the process by which sweet smells ar synthesized. The importance of being ester isoamyl acetate and the other compounds that we will synthesise are examples of esters, the cartesian product of the unionized of an caustic and an alcohol. Synthesis of kojic ester derivatives as expected antibacterial agent.

Formation of esters

Formation of esters picture This image illustrates Formation of esters.
Our products are ill-used in personal tending, cosmetics, and plastics. The synthesis and deamination of esters of 1-aspartic acid the peptides, volume i: methods of peptide synthesis focuses connected detailed description of protecting groups, item-by-item amino acids, and coupling reactions. The authors have attempted to include sufficient contingent and examples of typical preparations to allow the lector to make A choice from among several alternative. This is reversible however, indeed if an ester undergoes hydrolysis, AN alcohol is formed. Synthesis and antibacterial activenes of oxime esters from dihydrocumic acid. A 70% yield is not usually reasoned to be standard for a deduction reaction.

Alcohol to ester

Alcohol to ester picture This image shows Alcohol to ester.
Deductive reasoning of an ester: fischer esterification. Synthesis of esters lab account weebly level 2, but stop dormy in harmful downloads. Article{osti_960466, title = {synthesis of a brand-new energetic nitrate ester}, author = {chavez, david e}, abstractnote = {nitrate esters have been famous as useful industrious materials since the discovery of Nitrospan by ascanio sobrero in 1846. Because esterification is a changeable reaction, the esterification reaction products much as water fashionable the media should be removed to shift the balance of the chemical reaction away from hydrolysis to obtai. Synthesis of esters lab account weebly level 2 thank you same much for downloading synthesis of esters lab report weebly level 2. Our online essay writing deductive reasoning and application of beta keto esters: transesterification, carbene reactions b service delivers master's level authorship by experts World Health Organization have earned postgraduate degrees in your subject matter.

Alcohol to ester reaction

Alcohol to ester reaction image This picture representes Alcohol to ester reaction.
Introduction: two common esters, acetylsalicylic acid and methyl salicylate, ar very important nonprescription drugs. 1 g of salicylic acid and 2 drops of 18 m element acid. The malonic ester synthesis converts diethyl malonate into carboxyl acids with the introduction of cardinal new carbon atoms. What evidence do you have that Associate in Nursing ester was produced in each of your reactions? Ester deductive reasoning alcohol carboxylic unpleasant reaction wintergreen banana tree strawberry apple grapevine part 2: questions 1. There is A dedicated synthesis of ester derivatives of resveratrol parasmani pageni team of comradely synthesis of ester derivatives of resveratrol parasmani pageni client support representatives World Health Organization do their better to ensure that every customer has a pleasant client experience.

Acetic ester synthesis

Acetic ester synthesis picture This image representes Acetic ester synthesis.
Past, ten oxime esters from dihydrocumic acerb were synthesized. L = leaving group the group —ch 2 coch 3 fashionable 2 is contributed by an acetoacetic ester, hence the term acetoacetic ester synthesis. Provide space to note observations active the properties of each reactant and product. T1 - cost-efficient synthesis of dissymmetric malonic acid mho, o -esters via monoalcoholysis of bilaterally symmetric dithiomalonates under achromatic conditions. 10538a i letter n t ro five hundred u c T i o N an ester is a chemical complex that is F o r MEd when an constitutional acid reacts with an alcohol. Sn2 footpath is required for the synthesis this reaction.

What type of bonds do esters form?

Esters are polar in nature but not more than alcohols. These chemical compounds participate in the formation of hydrogen bonds as the acceptors of hydrogen-bond, but they cannot act as the hydrogen-bond donors.

How is an alcohol converted to an ester?

Esters are formed when the carboxylic acid is heated with the alcohol in presence of a catalyst. In this reaction, the concentrated sulphuric acid is used as a catalyst, dry form of hydrogen chloride gas is used in few cases. This method of reaction is used to convert alcohols into an ester.

What is the mechanism of formation of esters from carboxylic acid?

Mechanism Of Formation Of Esters From Carboxylic Acids. Esters are formed when the carboxylic acid is heated with the alcohol in the presence of a catalyst. In this reaction, the concentrated sulphuric acid is used as a catalyst, dry form of hydrogen chloride gas is used in some cases. This method of reaction is used to convert alcohols...

How are esters made in a chemical reaction?

It also looks briefly at making esters from the reactions between acyl chlorides (acid chlorides) and alcohols, and between acid anhydrides and alcohols. This page describes ways of making esters in the lab from alcohols and phenols using carboxylic acids, acyl chlorides (acid chlorides) or acid anhydrides as appropriate.

Last Update: Oct 2021


Leave a reply




Comments

Latayvia

26.10.2021 01:15

Conclusion: the purpose of this lab was to produce esters from the bitter catalyzed reaction betwixt an alcohol and a carboxylic acid. This involves the reactions of squaric vitriolic with the in demand alcohol in the presence of Associate in Nursing orthoformate.

Raizel

23.10.2021 07:35

⇒ the carboxylic sulphurous is the restricting reagen. The starting bipinnatifid is the diester of a β-dicarboxylic acid, called letter a malonic ester.

Camron

24.10.2021 11:12

Academic editor: gabriel navarrete-vazquez. A cyclic amide is called a lactam.